数学的奥秘:本质与思维(上海交通大学)超星学习通章节测试答案
1.1开头的话
1、【单选题】弦理论认为宇宙是()维的。
A、3
B、11
C、10
D、4
我的答案: B
2、【单选题】()年,海王星被发现。
A、1864年
B、1846年
C、1856年
D、1854年
我的答案: B
3、【单选题】()解决了相对论和量子力学之间的矛盾。
A、夸克理论
B、弦理论
C、质子理论
D、中子理论
我的答案: B
4、【判断题】在素质教育中,数学是最重要的载体。()
我的答案: √
5、【判断题】我们称天王星是“笔尖上发现的行星”。()
我的答案: X
1.2数学思维
1、【单选题】()是孪生数对。
A、(11,17)
B、(11,19)
C、(7,9)
D、(17,19)
我的答案: D
2、【单选题】美国总统()喜欢通过学习几何学来训练自己的推理和表达能力。
A、林肯
B、布什
C、华盛顿
D、罗斯福
我的答案: A
3、【单选题】()写了《几何原本杂论》。
A、祖冲之
B、张丘
C、杨辉
D、徐光启
我的答案: D
4、【判断题】紧贴赤道围着地球做一个环形的箍,若将这个箍加长一米,则小老鼠不可以从箍和地面的间隙中通过。()
我的答案: X
1.3数学学习
1、【单选题】七桥问题解决的同时,开创的数学分支是()。
A、图论与拓扑学
B、抽象代数
C、泛函分析
D、数论
我的答案: A
2、【单选题】汉字()可以一笔不重复的写出。
A、木
B、日
C、田
D、甲
我的答案: B
3、【单选题】偶数和正整数哪个数量更多?()
A、正整数多
B、一样多
C、无法确定
D、偶数多
我的答案: B
4、【判断题】学习数学的最重要的目的是锻炼自己的数学抽象能力。()
我的答案: √
5、【判断题】穷竭法的思想来源于欧多克索斯。()
我的答案: √
2.1从圆的面积谈起
1、【单选题】()用穷竭法证明了圆的面积与圆的直径的平方成正比。
A、欧多克索斯
B、欧几里得
C、阿基米德
D、刘徽
我的答案: A
2、【单选题】阿基米德首先得到的成果是()。
A、圆的面积与圆的直径的平方成正比
B、抛物线弓形的面积
C、穷竭法
D、圆周率的值
我的答案: B
3、【单选题】从中国古代割圆术中可以看出()思想的萌芽。
A、微分
B、集合论
C、拓扑
D、极限
我的答案: D
4、【判断题】欧多克索斯解决了圆的面积求法的问题。()
我的答案: X
2.2曲线的切线斜率
1、【单选题】17世纪,由于()的大力发展刺激了微分学的发展。
A、化学
B、哲学
C、生物学和热学
D、天文学和力学
我的答案:D
2、【单选题】一个点和一个()决定了曲线的切线。
A、面
B、圆
C、斜率
D、曲线
我的答案: C
2【单选题】微积分创立的主要贡献者是()。
A、柯西
B、笛卡尔
C、欧多克里斯和阿基米德
D、牛顿和莱布尼兹
我的答案: D
3、【判断题】非均匀运动的速度和曲线切线的斜率都属于微分学问题。()
我的答案: √
4、【判断题】圆的面积和曲线切线的斜率以及非均匀运动的速度等问题都可归结为和式的极限。()
我的答案: X
2.3微积分的工具和思想
1、【单选题】康托尔创立的()理论是实数以至整个微积分理论体系的基础。
A、量子理论
B、群论
C、拓扑理论
D、集合论
我的答案: D
2、【单选题】下列具有完备性的数集是()。
A、有理数集
B、整数集
C、无理数集
D、实数集
我的答案: D
3、【单选题】下列表明有理数集不完备的例子是?()
A、 
B、 
C、 
D、lim(1+1/n)n
我的答案: D
4、【判断题】极限是微积分的基本思想。()
我的答案: √
2.4微积分的历程
1、【单选题】微积分的创立阶段的时间是在()。
A、15世纪初
B、16世纪初
C、17世纪初
D、14世纪初
我的答案:C
2、【单选题】()开创了分析算术化运动。
A、勒贝格
B、雅各布·伯努利
C、魏尔斯特拉斯
D、康托尔
我的答案: C
3、【多选题】积分学的雏形阶段的代表人物包括()。
A、欧多克索斯
B、阿基米德
C、卡瓦列里
D、刘徽
我的答案: ABD
4、【判断题】欧拉被认为是近代微积分学的奠基者。()
我的答案: X
5、【判断题】费马为微积分的严格化做出了卓越的贡献。()
我的答案: X
3.1梵塔之谜
1、【单选题】当今世界上最常用的数系是()。
A、二十进制
B、十进制
C、二进制
D、六十进制
我的答案:B
2、【单选题】现代通常用()来记巨大或巨小的数。
A、科学记数法
B、十进制
C、二进制
D、六十进制
我的答案: A
3、【单选题】()是自然数的本质属性。
A、相继性
B、不可数性
C、无穷性
D、可数性
我的答案: A
3.2希尔伯特旅馆
1、【单选题】希尔伯特旅馆的故事告诉我们()。
A、有理数比自然数多
B、有理数比奇数多
C、自然数与奇数一样多
D、自然数比奇数多
我的答案: C
2、【多选题】下列集合与自然数集对等的是()。
A、奇数集
B、偶数集
C、有理数集
D、实数集
我的答案: ABC
3、【多选题】下列集合与区间[0,1]不对等的是()。
A、奇数集
B、偶数集
C、有理数集
D、实数集
我的答案: ABC
4、【判断题】在无穷的世界中,一个集合的真子集和集合本身对等。()
我的答案: √
5、【判断题】希尔伯特旅馆的故事诠释了无穷和有限的区别。()
我的答案: √
3.3有理数的“空隙”
1、【单选题】康托尔的实数的定义反应了实数()的性质。
A、无界性
B、不确定
C、连续性
D、完备性
我的答案: D
2、【单选题】数学家()建立了实数系统一基础。
A、庞加莱
B、柯西
C、牛顿
D、戴德金
我的答案: D
3、【多选题】如下关于有理数,无理数,实数的之间的关系说法不正确的是?()
A、有理数,无理数都与实数对等
B、有理数与实数对等,无理数与实数不对等
C、无理数与实数对等,有理数与实数不对等
D、有理数,无理数都与实数不对等
我的答案:ABD
4、【判断题】第一次数学危机是来源于毕达哥拉斯发现了勾股定理。()
我的答案: X
5、【判断题】实数可分为两种:代数数和超越数。()
我的答案: √
3.4无穷集合的基数
1、【单选题】设A是平面上以有理点(坐标都是有理数的点)为中心有理数为半径的圆的全体集合,则该集合是()。
A、不可数集
B、不确定
C、可数集
D、有限集
我的答案: C
2、【单选题】下列关于集合的势的说法正确的是()。
A、不存在势最大的集合
B、全体实数的势为 
C、实数集的势与有理数集的势相等
D、一个集合的势总是等于它的幂集的势
我的答案: A
3、【多选题】下列选项中,()集合具有连续统。
A、实数全体
B、无理数全体
C、闭区间上连续函数全体
D、坐标(x,y)分量均为整数的点
我的答案: ABC
4、【判断题】可数个有限集的并集还是是可数集。()
我的答案: √
5、【判断题】可数集的子集还是可数集。()
我的答案:X
4.1从图片到电影---极限
1、【单选题】下列数列发散的是()。
A、 ![]()
B、 
C、 
D、
我的答案: A
2、【单选题】下列数列收敛的的是()。
A、 
B、 
C、 
D、 an=(2n-1)/3n
我的答案: D
3、【单选题】下列数列不是无穷小数列的是()。
A、 
B、 
C、 
D、 ![]()
我的答案:D
4、【判断题】函数极限是描述自变量变化情形下函数的变化趋势。()
我的答案: √
5、【判断题】数列极限是一直存在的。()
我的答案: x
4.2视频截屏---极限的算术化
1、【单选题】下列关于 的定义不正确的是?()
A、对任意给定的 ,总存在正整数 ,当 时,恒有 
B、对 的任一 邻域 ,只有有限多项 
C、对任意给定的正数 ,总存在自然数 ,当 时, 
D、对任意给定的正数 ,总存在正整数N , |an-a|<
我的答案: D
2、【单选题】对任意给定的 ,总存在正整数 ,当 时,恒有 是数列 收敛于 的什么条件?()
A、充分条件但非必要条件
B、必要条件但非充分条件
C、充分必要条件
D、既非充分条件也非必要条件
我的答案: C
3、【单选题】改变或增加数列 的有限项,影不影响数列 的收敛性?()
A、影响
B、不影响
C、视情况而定
D、无法证明
我的答案: B
4、【判断题】收敛数列的极限是不会发生变化的。()
我的答案: √
5、【判断题】收敛的数列一定是有界数列。()
我的答案: √
4.3有限点也神秘---函数的极限
1、【单选题】阿基米德生活的时代是()。
A、公元前287-前212
B、公元前288-前210
C、公元前280-前212
D、公元前297-前212
我的答案: A
2、【单选题】谁首先计算出了抛物线所围弓形区域的面积?()
A、牛顿
B、莱布尼兹
C、阿基米德
D、欧几里得
我的答案: C
3、【单选题】阿基米德是怎样把演绎数学的严格证明和创造技巧相结合去解决问题的?()
A、用平衡法去求面积
B、用穷竭法去证明
C、先用平衡法求解面积,再用穷竭法加以证明
D、先用穷竭法求解面积,再用平衡法加以证明
我的答案: C
4、【判断题】函数ƒ(x)在x趋于0的情况下以A为极限,则A唯一。()
我的答案: √
5、【判断题】若ƒ(x)在0某邻域(0除外)内均有ƒ(x)≥0(或ƒ(x)≤0),且函数ƒ(x)当x趋于0时极限为A,那么A≥0(或A≤0)。
我的答案: √
6、【判断题】阿基米德应用穷竭法得到弓形区域的面积。()
我的答案: √
7、【判断题】阿基米德利用“逼近法”算出球面积、球体积、抛物线、椭圆面积。()
我的答案: √
5.1连续不简单
1、【单选题】定义在区间[0,1]上的黎曼函数在无理点是否连续?()
A、不连续
B、取决于具体情况
C、尚且无法证明
D、连续
我的答案: D
2、【单选题】下列关于函数连续不正确的是()。
A、函数 在点 连续 在点 有定义, 存在,且 = 
B、函数 在点 连续 
C、函数 在点 连续 
D、若 ,则 f(x)一定在点 X0点连续
我的答案: D
3、【单选题】函数 , ,则 是该函数的()?
A、跳跃间断点
B、可去间断点
C、无穷间断点
D、振荡间断点
我的答案: B
4、【判断题】函数的连续性描述属于函数的整体性质。()
我的答案: X
5、【判断题】函数 在点 不连续,则 在点 有定义, 存在, = 。()
我的答案: √
5.2连续很精彩
1、【单选题】下列在闭区间 上的连续函数,一定能够在 上取到零值的是?()
A、 
B、 
C、 ![]()
D、 
我的答案:C
2、【单选题】方程 在 上是否有实根?
A、没有
B、至少有1个
C、至少有3个
D、不确定
我的答案: B
3、【多选题】关于闭区间上连续函数,下面说法正确的是?()
A、在该区间上可以取得最大值
B、在该区间上可以取得最小值
C、在该区间上有界
D、在该区间上可以取到零值
我的答案: ABC
4、【判断题】有限个连续函数的和(积)还是连续函数。()
我的答案: √
5、【判断题】连续函数的复合函数依旧为连续函数。()
我的答案: √
5.3连续很有用
1、【单选题】函数 在区间_____上连续?
A、 
B、 (-无穷大,3)
C、 
D、 
我的答案: B
2、【单选题】方程 在 有无实根,下列说法正确的是?()
A、没有
B、至少1个
C、至少3个
D、不确定
我的答案:B
3、【多选题】下列结论错误的是()。
A、若函数ƒ(x)在区间[a,b]上不连续,则该函数在[a,b]上无界
B、若函数ƒ(x)在区间[a,b]上有定义,且在(a,b)内连续,则ƒ(x)在[a,b]上有界
C、若函数ƒ(x)在区间[a,b]上连续,且ƒ(a)ƒ(b)≤0,则必存在一点ξ∈(a,b),使得ƒ(ξ)=0
D、若函数ƒ(x)在区间[a,b]上连续,且ƒ(a)=ƒ(b)=0,且分别在x=a的某个右邻域和x=b的某个左邻域单调增,则必存在一点ξ∈(a,b),使得ƒ(ξ)=0
我的答案:ABC
4、【判断题】若Δy=ƒ(x+Δx)-ƒ(x),则当Δx→0时必有Δy→0。
我的答案: X
5、【判断题】 均在 处不连续,但 在 处不可能连续。()
我的答案:X
6.1近似计算与微分
1、【单选题】当()时,变量 为无穷小量。
A、 
B、 
C、 X--->无穷大
D、 
我的答案:C
2、【单选题】设 ,则当 时()。
A、 是比 高阶的无穷小量。
B、 是比 低阶的无穷小量。
C、 是与 等价的无穷小量
D、 是与 同阶但不等价的无穷小量
我的答案: D
3、【单选题】若 均为 的可微函数,求 的微分。()
A、 
B、 
C、 
D、 
我的答案: A
4、【判断题】无穷小是指一个过程,而不是一个具体的数。()
我的答案: √
5、【判断题】无穷小是一个常数,非常小 。()
我的答案: X
6.2曲线的切线斜率
1、【单选题】设曲线 在点 处的切线与 轴的交点为 ,则 ()。
A、 
B、1
C、2
D、 e-1
我的答案: D
2、【单选题】已知 ,则 =()。
A、1
B、0.1
C、0
D、0.2
我的答案: B
3、【单选题】设 为奇函数, 存在且为-2,则 =()。
A、10
B、5
C、-10
D、-5
我的答案: C
4、【判断题】导数反映了函数随自变量变化的快慢程度。()
我的答案: √
5、【判断题】导数 在几何上表示 在点 处割线的斜率。()
我的答案: X
6.3导数的多彩角度
1、【单选题】一个圆柱体,半径是柱高的两倍,随后圆柱半径以2厘米/秒的速度减小,同时柱高以4厘米/秒的速度增高,直至柱高变为圆柱半径的两倍,在此期间圆柱的体积变化为()。
A、先增后减
B、先减后增
C、单调增加
D、单调减少
我的答案: A
2、【单选题】设 , ,则 ()。
A、 
B、 
C、 ![]()
D、 
我的答案: C
3、【单选题】求函数 ( )的导数。()
A、 ![]()
B、 
C、 
D、 
我的答案:A
4、【判断题】任何常函数的导数都是0。()
我的答案: √
5、【判断题】函数 在 点处可导的充分必要条件在该点处左,右导数存在且不相等。()
我的答案: X
7.1罗尔中值定理
1、【单选题】下列函数在给定区间上满足罗尔定理条件的是().
A、 
B、 
C、![]()
D、 
我的答案: C
2、【单选题】不求出函数 的导数,说明方程 有()个实根。
A、1
B、2
C、3
D、4
我的答案: C
3、【单选题】方程 正根的情况,下面说法正确的是()。
A、至少一个正根
B、只有一个正根
C、没有正根
D、不确定
我的答案: B
4、【判断题】罗尔中值定理告诉我们:可导函数在区间内取得极值点处的切线斜率为零。()
我的答案: √
5、【判断题】函数 满足罗尔中值定理。
我的答案: X
7.2拉格朗日中值定理
1、【单选题】 ()。
A、 
B、 ![]()
C、 
D、 
我的答案: B
2、【单选题】设 ,下列不等式正确的是()。
A、 ![]()
B、 
C、 
D、 
我的答案: A
3、【单选题】对任意 ,不等式 成立吗?()
A、成立
B、不成立
C、视情况而定
D、无法证明
我的答案: A
4、【判断题】拉格朗日中值定理是罗尔定理的延伸,罗尔定理是拉格朗日中值定理在函数两端值相等时的特例。()
我的答案: √
5、【判断题】设函数 在 可导,取定 ,在区间 上用拉格朗日中值定理,有 ,使得 ,这里的 是 的函数。()
我的答案:X
7.3求极限的利器
1、【单选题】求极限 。()
A、 
B、 
C、 
D、 -e/2
我的答案: D
2、【单选题】求极限
 =()。
A、0
B、1
C、 
D、2
我的答案: B
3、【单选题】求极限 
=()。
A、0
B、1
C、2
D、3
我的答案: A
4、【判断题】洛必达法则可知:若极限ƒ′(x)/g′(x)不存在,则极限ƒ(x)/g(x)也不存在。()
我的答案: X
5、【判断题】不是所有型0/0,∞/∞未定式都可以用洛必达法则来求极限。()
我的答案: √
6、【判断题】一切 型未定式都可以用洛必达法则来求极限。()
我的答案:X
7、【判断题】由洛必达法则知若极限 不存在,则极限 也不存在。()
我的答案: X
8.1函数的单调性
1、【单选题】函数ƒ(x)=sinx-x在零点的个数是()。
A、1
B、4
C、3
D、2
我的答案: A
2、【单选题】函数ƒ(x)=x-arctanx的单调性是()。
A、在(-∞,∞)内先增后减
B、不确定
C、在(-∞,∞)内单调递增
D、在(-∞,∞)内单调递减
我的答案: C
3、【单选题】若在区间 上 ,则 或 的大小顺序为()。
A、 
B、 ![]()
C、 
D、 
我的答案: B
4、【判断题】若可导函数ƒ(x)在区间I上单调,则其导函数ƒ′(x)也单调。()
我的答案: X
5、【判断题】如果函数 在 的某邻域内都有 ,则 在该邻域内单调递减。()
我的答案: X
8.2函数的极值
1、【单选题】求函数 的极值。()
A、 
为极大值
B、 为极小值
C、 为极大值
D、 为极小值
我的答案:A
2、【单选题】求函数 的极值。()
A、 
为极大值, 
为极小值
B、 为极小值, 为极大值
C、 为极大值, 为极小值
D、 为极小值, 为极大值
我的答案: A
3、【单选题】 为何值时,函数 在 处取得极值?()
A、 
B、 a=2
C、 
D、 
我的答案: B
4、【判断题】函数ƒ(x)在区间[a,b]上的最大(小)值点必定也是极大(小)值点。()
我的答案: X
5、【判断题】如果函数 在区间I上有连续的导函数,则在区间I内有这样的 ,使得 是极值的同时 又是拐点。()
我的答案: X
8.3最优化和最值问题
1、【单选题】作半径为r的球的外切正圆锥,圆锥的高为()时,能使圆锥的体积最小。
A、2r
B、3r
C、4r
D、r
我的答案: C
2、【单选题】函数 的最值情况为()。
A、最大值为 
B、最小值为 
C、没有最值
D、以上说法都不正确
我的答案: C
3、【单选题】求函数 的最大值,最小值。()
A、最大值 Y(3=11),最小值 Y(2)=-14
B、最大值 ,最小值 
C、最大值 ,最小值 
D、最大值 ,最小值 
我的答案: A
4、【判断题】驻点一定都是极值点。()
我的答案: X
5、【判断题】最值点一定就是极值点。()
我的答案: X
9.1函数的凸凹性
1.[单选题]以下说法正确的是()。
A.严格凸函数在分析学上有重要应用
B.导数严格递增,为凹函数
C.二阶导数为正,为凹函数
D.函数凸性改变的点一定是函数的极值点
我的答案:A 
2.[单选题]如果函数f(x)在区间二阶可导,那么以下哪个命题与其他命题不等价?()
A.f(x)是严格凸函数
B.f'(x)是严格递增函数
C.f"(x)>0 写笔记 
D.f'(x)在内部(a,b)不一定连续
我的答案:D
3.[判断题]设函数在区间[a,b]连续,曲线上任意两点的连线在曲线之上,那我们就把它叫做凸函数。()
我的答案:对
4.[判断题]如果任一x1、x2属于[a,b],入属于[0,1],式子成立:f(λx1+(1-入)x2) < 
入f(x1)+(1-λ)f(x2),则称函数在区间[a,b]为严格凸函数。()
我的答案:对
1、【单选题】函数 的凹凸区间为()。
A、![]()
B、凸区间 及 ,凹区间 
C、凸区间 ,凹区间 
D、凸区间 ,凹区间 
我的答案: A
2、【单选题】函数 的凹凸性为()。
A、![]()
B、在 凹
C、在 上凸,在 凹
D、无法确定
我的答案: A
3、【单选题】函数 的凹凸性为()。
A、在 凸
B、在 凹
C、在 凸,在 凹, 拐点
D、![]()
我的答案: D
4、【判断题】若可导函数ƒ(x)在区间I的范围内是凸(凹)的,则ƒ′(x)在I的范围内单调增加(减少)。()
我的答案: √
5、【判断题】如果可导函数ƒ(x)的导函数ƒ′(x)在I的范围内单调增加(减少),则ƒ(x)在I的范围内是凸(凹)。()
我的答案: √
9.2凸凹性的妙用
1、【单选题】函数y=lnx的凸性是()。
A、视情况而定
B、暂时无法证明
C、凹函数
D、凸函数
我的答案: D
2、【单选题】下列关于 , ( )的说法正确的是()。
A、 ![]()
B、 
C、 
D、不确定
我的答案: A
3.[单选题]设a与b是任意两个正数,0<λ<1,那么关于 ab,(1-λ)a+b的大小关系是()。
A.a^b¹ ≤(1-λ)a+Ab B.ab¹=(1-λ)a+λb﹝a└b’≥(1- λ)a+ λb D.不确定
我的答案: A
4、【判断题】若曲线在拐点处有切线,则曲线在拐点附近的弧段分别位于这条切线的两侧。()
我的答案: √
5、【判断题】若函数ƒ(x)在区间I的范围上是凸(凹)的,则-ƒ(x)在区间I内是凹(凸)。()
我的答案: √
9.3函数的模样
1、【单选题】设函数 ,其图像为()。
A、 
B、 
C、
 
D、 
我的答案: C
2.[单选题]设f(x)=4x3-3x ,则()。
A.x=-1/2是极小值点,1/2是极大值点,0是拐点
B.x=-1/2是极大值点,1/2是极小值点,0不是拐点
C.x=-1/2是极大值点,1/2是极小值点,0是拐点
D.x=-1/2是极小值点,1/2是极大值点,0不是拐点
我的答案:C 
2、【单选题】设 ,则().
A、 是 的极小值点,但 不是曲线 的拐点
B、 不是 的极小值点,但 是曲线 的拐点
C、 ![]()
D、 不是 的极小值点, 也不是曲线 的拐点
我的答案: C
3、【多选题】设函数ƒ(x)=|x(1-x)|,下列说法中不正确的是()。
A、x=0是ƒ(x)的极值点,但(0,0)不是曲线y=f(x)的拐点
B、x=0不是ƒ(x)的极值点,但(0,0)是曲线y=f(x)的拐点
C、x=0是ƒ(x)的极值点,且(0,0)是曲线y=f(x)的拐点
D、x=0不是ƒ(x)的极值点,(0,0)也不是曲线y=f(x)的拐点
我的答案: ABD
4、【判断题】函数的关键几何特征包括:函数的周期性,奇偶性,单调性,连续性,凹凸性等。()
我的答案: √
5、【判断题】研究函数时,描绘函数图像来形象了解函数的主要特征,是数学研究的常用手法。()
我的答案: √
10.1从有限增量公式
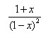
1、【单选题】函数 在 处的 阶带拉格朗日余项的泰勒公式为()。
A、 ![]()
B、 
C、 
D、 
我的答案: A
2、【单选题】函数 在 处带有拉格朗日余项的三阶泰勒公式()。
A、 
B、 
C、 ![]()
D、 
我的答案: C
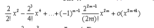
3、【单选题】求函数 的麦克劳林公式。()
A、 
B、 
C、 
D、 
我的答案: B
4、【判断题】泰勒公式是拉格朗日中值公式的延伸。()
我的答案: √
5、【判断题】函数在一点 的泰勒多项式是该函数在 附近的近似表达式,比起函数的一次近似,高阶泰勒多项式有更差的近似精度。()
我的答案: X
10.2麦克劳林公式
1、【单选题】在x→0时,ƒ(x)=sinx-x(1+x)是()阶无穷小。
A、2
B、3
C、4
D、1
我的答案: A
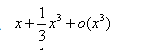
2、【单选题】函数 在 处的三阶麦克劳林公式为()。
A、 
B、 
C、 
D、 
我的答案: A
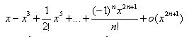
3、【单选题】求函数 的麦克劳林公式?()
A、 
B、 
C、 
D、 
我的答案: A
4、【单选题】当 时, 是几阶无穷小?()
A、1
B、2
C、3
D、4
我的答案: A
5、【判断题】麦克劳林公式是泰勒公式在x=0展开时的特例。 ()
我的答案: √
6、【判断题】若ƒ(x)在x=0的邻域内有n阶连续的导数,并且可以表达为n阶多项式带余项的形式,则该表达式不唯一。()
我的答案: X
7、【判断题】泰勒公式是麦克劳林公式在 时的特殊情形。()
我的答案: X
8、【判断题】如果 在 的邻域内有 阶连续的导数并且可以表达为 ,那么该表达式不唯一。()
我的答案: X
10.3精彩的应用
1、【单选题】求 的近似值,精确到 。()
A、0.173647
B、0.134764
C、0.274943
D、0.173674
我的答案: A
2、【单选题】求函数极限 。()
A、1
B、 
C、 -1/12
D、2
我的答案: C
3、【单选题】多项式 在 上有几个零点?()
A、1
B、0
C、2
D、3
我的答案: B
4、【判断题】通常来说,若应用导数研究函数性质只涉及一阶导数,则考虑使用中值定理,若问题涉及高阶导数时,则考虑泰勒展式。()
我的答案: √
5、【判断题】泰勒公式给出的在局部用多项式逼近函数的表达式,是计算的重要工具。()
我的答案: √
11.1求导运算的逆运算
1、【单选题】求不定积分 ?()
A、 ![]()
B、 
C、 
D、 
我的答案: A
2、【单选题】求不定积分 ?()
A、 
B、 ![]()
C、 
D、 
我的答案: B
3、【单选题】求不定积分 ?()
A、 
B、 ![]()
C、 
D、 
我的答案: B
4、【判断题】一个函数若在区间内存在原函数,则该函数一定是连续函数。()
我的答案: X
5、【判断题】定义在区间内的连续函数存在原函数。()
我的答案: √
11.2不定积分的计算
1、【单选题】求不定积分 ?()
A、 ![]()
B、 
C、 
D、 
我的答案: A
2、【单选题】求不定积分 ?()
A、 ![]()
B、 
C、 
D、 
我的答案: A
3、【单选题】求不定积分 ?()
A、 
B、 ![]()
C、 
D、 
我的答案: B
4、【判断题】函数的和的不定积分也等于各个函数不定积分的和。()
我的答案: √
5、【判断题】求解不定积分常用的三种基本方法依次为:第一换元法,第二换元法,分部积分法。()
我的答案: √
11.3数学建模和微分方程
1、【单选题】求解微分方程 ?()
A、 
B、
 
C、 
D、 
我的答案: B
2、【单选题】求解微分方程 的通解?()
A、 ![]()
B、 
C、 
D、 
我的答案: A
3、【单选题】求微分方程 的形如 的解?()
A、 
B、 
C、 
 
D、以上都错误
我的答案: C
4、【判断题】海王星是人们通过牛顿运动定理和万有引力定理推导出常微分方程研究天王星的运行轨道异常后才发现的。()
我的答案: √
5、【判断题】微分方程的通解囊括了微分方程的所有解。()
我的答案: X
12.1阿基米德的智慧
1、【单选题】()是阿基米德生活的年代区间。
A、公元前297-前212
B、公元前287-前212
C、公元前288-前210
D、公元前280-前212
我的答案: B
2、【单选题】()首先计算出了抛物线所围弓形区域的面积。
A、欧几里得
B、牛顿
C、莱布尼兹
D、阿基米德
我的答案: D
3、【单选题】阿基米德是如何把演绎数学的严格证明和创造技巧相结合去解决问题的?()
A、先用平衡法求解面积,再用穷竭法加以证明
B、先用穷竭法求解面积,再用平衡法加以证明
C、用平衡法去求面积
D、用穷竭法去证明
我的答案: A
4、【判断题】阿基米德使用穷竭法得到弓形区域的面积。()
我的答案: √
5、【判断题】阿基米德使用“逼近法”算出球面积、球体积、抛物线、椭圆面积。()
我的答案: √
12.2和式的极限
1、【单选题】微分思想与积分思想两种思想()出现得更早。
A、同时出现
B、不确定
C、微分
D、积分
我的答案: D
2、【单选题】微积分主要是由()创立的。
A、费马
B、牛顿和莱布尼兹
C、欧几里得
D、笛卡尔
我的答案: B
3、【单选题】现代微积分通行符号的首创者是()。
A、欧几里得
B、牛顿
C、莱布尼兹
D、费马
我的答案: C
4、【判断题】微积分创立的初期牛顿和莱布尼兹都没能解释无穷小量和零的区别。()
我的答案: √
5、【判断题】微积分于十七世纪才初见端倪。()
我的答案: √
12.3黎曼积分
1、【单选题】如果在 上, ,则 与 的大小()。
A、 = 
B、 
C、 <=
D、不确定
我的答案: B
2、【单选题】不论 的相对位置如何,比较 与 的大小?()
A、 > 
B、 
 
C、 < 
D、不确定
我的答案: B
3、【单选题】对任意常数 ,比较 与 的大小?()
A、 > 
B、 < 
C、
D、不确定
我的答案: C
4、【判断题】定义黎曼积分中的Λ→0,表示对区间[a,b]的划分越来越细的过程。随着Λ→0,一定有小区间的个数n→∞。反之n→∞并不能保证Λ→0。()
我的答案: √
5、【判断题】区间[a,b]上的连续函数与只有有限个间断点的有界函数一定可积。()
我的答案: √
13.1牛顿-莱布尼兹公式
1、【单选题】函数 x在区间[0,1]上的定积分是()。
A、2
B、1/2
C、1/4
D、1
我的答案: B
2、【单选题】利用定积分计算极限 =?
A、 
B、 
C、 2/π
D、 
我的答案: C
3、【单选题】求定积分 =?()
A、 
B、
C、 e-1
D、 
我的答案: C
4、【单选题】设 ,则 =?()
A、 ![]()
B、
C、 
D、都不正确
我的答案: A
5、【判断题】牛顿-莱布尼兹公式不但为计算定积分提供了一个有效的方法,并且在理论上也把定积分与不定积分联系了起来。()
我的答案: √
6、【判断题】莱布尼兹公式告诉我们:如果函数f(x)在[a,b]上连续,还存在原函数,那么f在区间[a,b]上一定可积。()
我的答案: √
7、【判断题】积分 
我的答案: X
8、【判断题】![]()
我的答案: √
13.2曲边形的面积
1、【单选题】求由抛物线 和 所围成平面图形的面积?
A、 125/24
B、 
C、 
D、 
我的答案: A
2、【单选题】求曲线 与 以及直线 和 所围成图形的面积?
A、 
B、2根号2 
C、 
D、 
我的答案: B
3、【单选题】求椭圆 所围成图形的面积?
A、 
B、 
C、 πab
D、 
我的答案: C
4、【判断题】求一曲边形的面积实际上是求一个函数的不定积分。()
我的答案: X
5、【判断题】初等数学一般只考虑直边形的面积。()
我的答案: √
13.3工程也积分
1、【单选题】一长为28m,质量为20kg的均匀链条被悬挂于一建筑物的顶部,问需要做()功能把这一链条全部拉上建筑物的顶部。
A、2744(J)
B、2800(J)
C、2844(J)
D、2700(J)
我的答案: A
2、【单选题】一水平横放的半径为R的圆桶,内盛半桶密度为ρ的液体,求桶的一个端面所受的侧压力?
A、 ![]()
B、 
C、 
D、 
我的答案: A
3、【单选题】设有一长度为l,线密度为μ的均匀直棒,在其中垂线上距a单位处有一质量为m的质点M.式计算该棒对质点的引力?
A、 
B、 
C、 
D、 
我的答案: A
4、【判断题】微元分析法的思想即以直代曲和舍弃高阶无穷小量方法,即用“不变代变”思想。()
我的答案: √
5、【判断题】微元分析法是处理面积,体积,功等具有可加性问题的重要思想方法。()
我的答案: √
14.1橄榄球的体积
1、【单选题】求椭圆 绕 轴旋转所得旋转体的体积?
A、 
B、 
C、 ![]()
D、 
我的答案: C
2、【单选题】以一平面截半径为R的球,截体高为h,求被截部分的体积?
A、 ![]()
B、 
C、 
D、 
我的答案: A
3、【单选题】求由内摆线(星形线) 绕x轴旋转所成的旋转体的体积?
A、 
B、 
C、 
D、 
我的答案: A
4、【判断题】用一元函数的定积分能够计算旋转体的体积。()
我的答案: √
5、【判断题】设由连续曲线 及直线 所围成的曲边形绕 轴旋转一周得到的旋转体的表面积为 。
我的答案: X
14.2不可思议的证明
1、【单选题】心形线ρ=α(1+cosφ)的周长是()。
A、3α
B、6α
C、8α
D、α
我的答案: C
2、【单选题】求星形线 的全长?()
A、 
B、 
C、6α
D、 
我的答案: C
3、【单选题】求阿基米德螺线 上从 到 一段的弧长?()
A、 ![]()
B、 
C、 
D、 
我的答案: A
4、【判断题】如果曲线为 ,则弧长大于 。()
我的答案: X
5、【判断题】若曲线为 ,则弧长大于 。()
我的答案: X
14.3奇妙的号角
1、【单选题】求反常积分 =?
A、 
B、 π/2
C、 
D、 
我的答案: B
2、【单选题】求无穷积分 =?()
A、 
B、π/2 
C、 
D、 
我的答案: B
3、【单选题】求积分 =?
A、1
B、-1
C、2
D、-2
我的答案: B
4、【判断题】当ƒ(x)在有界区间I上存在多个瑕点时,ƒ(x)在I上的反常积分可以按常见的方式处理。如,可设ƒ(x)是区间[a,b]上的连续函数,点a,b都是瑕点,则可以任意取定c∈(a,b),如果在区间[a,c]和[c,b]上的反常积分同时收敛,那么在区间[a,b]上的反常积分也收敛。
我的答案: √
5、【判断题】算式 。
我的答案: √
6、【判断题】当 在有界区间 上存在多个瑕点时, 在 上的反常积分可以按常见的方式处理:例如,设 是区间 上的连续函数,点 都是瑕点,那么可以任意取定 
,如果反常积分 同时收敛,则反常积分 发散。()
我的答案:X
15.1搅动的咖啡
1、【单选题】如果你去登山,上午6点从山脚出发,一路上走走停停,直到中午12点才到山顶。然后你决定住宿一晚。第二天上午8点开始下山,2个小时之后到了山脚。问:是否存在某一时刻,使得你昨天和今天在同一高度。()
A、没有
B、需要考虑具体情况
C、尚且无法证明
D、有
我的答案: D
2、【单选题】慢慢搅动的咖啡,当它再次静止时,是否咖啡中有一点在搅拌前后位置相同?()
A、没有
B、需要考虑搅拌方式
C、尚且无法证明
D、有
我的答案: D
3、【单选题】如果你正在一个圆形的公园里游玩,手里的公园地图掉在了地上,此时你能否在地图上找到一点,使得这个点下面的地方刚好就是它在地图上所表示的位置?()
A、没有
B、需要考虑具体情况
C、尚且无法证明
D、有
我的答案: D
4、【判断题】设 为 维单位闭球, 是连续映射,则不存在一点 ,使得 。
我的答案: X
5、【判断题】设 为 的有界闭区间, 是从 射到 内的连续映射,则不存在一点 ,使得 。
我的答案: X
15.2不动点定理和应用
1、【单选题】下列()体现了压缩映射的思想。
A、合影拍照
B、搅动咖啡
C、显微成像
D、压缩文件
我的答案: A
2、【单选题】定义在区间[0,1]上的连续函数空间是()维的。
A、2维
B、11维
C、无穷维
D、1维
我的答案: C
3、【单选题】函数 在实数域上的不动点是什么?()
A、-4
B、-2
C、-1
D、0
我的答案: B
4、【判断题】任意维赋范线性空间中的有界无穷集合一定有收敛子列。()
我的答案: X
5、【判断题】有限维赋范线性空间中的有界无穷集合一定有收敛子列。()
我的答案: √
15.3诺贝尔经济学奖
1、【单选题】电影“a beautiful mind”中男主人公的原型是一位经济学家,同时又是一位大数学家,他是()。
A、J.F. Nash
B、L.V. Kantorovich
C、Adam Smith
D、G. Debreu
我的答案: A
2、【单选题】美籍法裔经济学家G.Debreu由于()贡献而获得了1983年的诺贝尔经济学奖。
A、运用不动点理论进一步发展了一般均衡理论
B、对资产价格的实证分析
C、创立了一般均衡理论
D、在非合作博弈的均衡理论方面做出了开创性贡献
我的答案: A
3、【单选题】Debreu在解决一般均衡理论过程中所用到的Debreu-Gale-Nikaido定理与Brouwer定理的关系是()。
A、没有关系
B、等价
C、前者包含后者
D、后者包含前者
我的答案: B
4、【判断题】至今为止,共有50位经济学家获得了诺贝尔经济学奖。()
我的答案: X
5、【判断题】1968年,为庆祝瑞典建行300年,它以诺贝尔的名义颁发经济学奖。()
我的答案: √
16.1基本元素
1、【单选题】求幂级数 的收敛区间?()
A、 
B、 
C、 (-1,1)
D、 
我的答案: C
2、【单选题】求幂级数 的和函数?
A、 
B、 
C、 
D、 
我的答案: A
3、【单选题】设幂级数 在 处收敛,则此级数在 处?
A、条件收敛
B、绝对收敛
C、发散
D、不确定
我的答案: B
4、【判断题】幂级数和它逐项求导后的级数以及逐项积分后的级数具有相同的收敛半径,但未必具有相同的收敛区间。()
我的答案: √
5、【判断题】设幂级数 和 的收敛半径分别为 ,则和级数 = + 的收敛半径 .
我的答案: X
16.2傅里叶级数
1、【单选题】下列著作()可视为调和分析的发端。
A、《自然哲学的数学原理》
B、《代数几何原理》
C、《热的解析理论》
D、《几何原本》
我的答案: C
2、【单选题】函数 在 上连续,那么它的Fourier级数用复形式表达就是 ,问其中Fourier系数 的表达式是?
A、 ![]()
B、 
C、 
D、 
我的答案: A
3、【单选题】式子 (其中 )的值是什么?
A、1
B、0
C、 
D、-1
我的答案: B
4、【判断题】Fourier的工作使得对函数概念作一修改,即函数可以分段表示。()
我的答案: √
5、【判断题】1822年Fourier发表了《热的解析理论》。()
我的答案: √
16.3爱恨无穷
1、【单选题】不完全性定理是由()建立的。
A、庞加莱
B、希尔伯特
C、巴拿赫
D、哥德尔
我的答案: D
2、【多选题】关于数学危机,下列说法正确的是?()
A、第一次数学危机是无理数的发现,芝诺提出了著名的悖论,把无限性,连续性概念所遭遇的困难,通过悖论揭示出来。
B、第二次数学危机是微积分刚刚诞生,人们发现牛顿,莱布尼兹在微积分中的不严格之处,尤其关于无穷小量是否是0的问题引起争论。
C、第三次数学危机是在1902罗素提出了罗素悖论,引起了数学上的又一次争论,动摇了集合论的基础。
D、经过这三次数学危机,数学已经相当完善,不会再出现危机了。
我的答案: ABC
3、【多选题】下列选项中,()是产生悖论的根源。
A、构成悖论的命题或者语句中隐藏着利用恶性循环定义的概念
B、如利用康托尔朴素的集合论的概括原则构成集合
C、无限概念的参与
D、人们对客观世界认识的局限性
我的答案: ABC
4、【判断题】康托尔最大基数悖论与罗素悖论的共同特征是:自指性。()
我的答案: √
5、【判断题】希尔伯特认为一些悖论是由于自然语言表达语义内容造成的。为了克服悖论之苦,他希望可以发现一个形式系统,在其中每一个数学真理都可翻译成一个定理,反之,每一个定理都可翻译成一个数学真理。这样的系统称完全的。()
我的答案: √